Indhold slutter
Aktive Pensionister
  • FORSIDE
  • OM OS
  • NYHEDER
  • SKRIV ET INDLÆG
  • BLIV MEDLEM
  • KONTAKT OS
  • Toggle website search
  • FORSIDE
  • OM OS
  • NYHEDER
  • SKRIV ET INDLÆG
  • BLIV MEDLEM
  • KONTAKT OS
  • Toggle website search

Blog

  1. Hjem>
  2. Generalforsamling

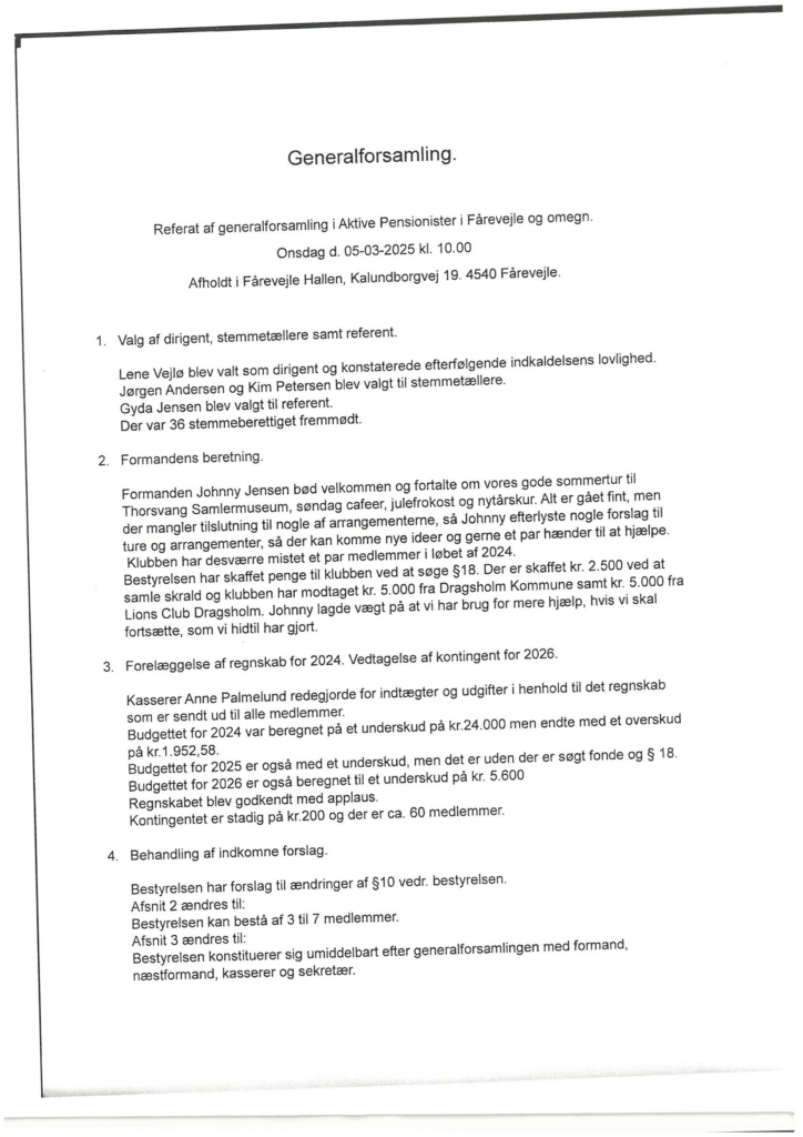
Referat – Generalforsamlingen 05.03.2025

Nedenfor referatet af generalforsamlingen 2025 – godkendt af bestyrelse og dirigent.

artikler

Forrige produktGeneralforsamling 05.03.2025

Måske kan du også lide

Referat af generalforsamlingen 13.03.2024

23. marts 2024
Read more about the article Indkaldelse til generalforsamling 13.03.2024

Indkaldelse til generalforsamling 13.03.2024

2. februar 2024

Generalforsamling 03.08.2021

4. august 2021
  • 2025
  • Opera
  • Fitness
  • Generalforsamling
  • Kontakt hinanden
  • Jul og nytår
  • Udflugter
  • Meddelelser
  • Nyt fra bestyrelsen
  • Diverse
  • Bestyrelsen
  • Søndagscafé
  • 2024
  • 2023
  • 2022
  • 2021
  • 2020
  • 2019
  • 2018
  • 2017
  • 2016
  • 2015
  • 2014
  • Vilkår og betingelser
Copyright 2025 - AKTIVE PENSIONISTER Fåevejle og omegn Odsherred